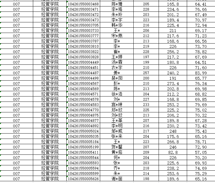
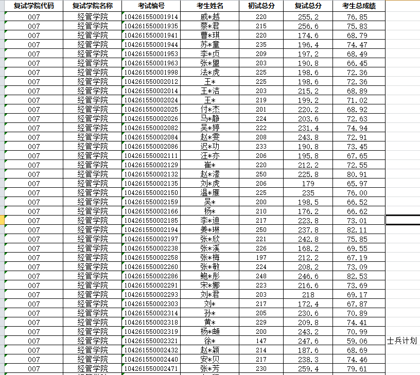
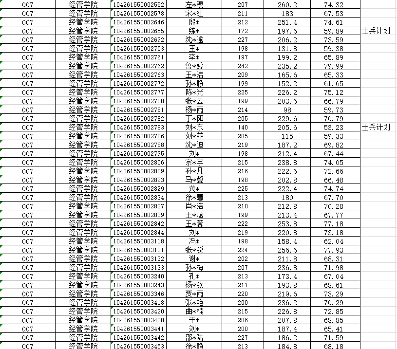
【公示】bat365官方官网经管学院2021年硕士研究生复试成绩公示2
按照学校要求,经学院复试考核,现对bat365官方官网2021年硕士研究生复试成绩予以公示,若对复试成绩有异议,请联系学院。
工程管理(MEM):李老师 0532-88959186
会计专硕:柳老师0532-88959202
工商管理硕士(MBA):马老师 0532-88956657
研究生招生办公室:0532-88957382
bat365官方官网
2021年3月29日
2021级工程管理专硕复试成绩公示
2021级工商管理专硕复试成绩公示
2021级会计硕士专硕复试成绩公示
上一篇:关于组织2020年度ACCA单项奖学金评选的通知
下一篇:【公示】经管学院关于推选本科生候选人评选“青岛市百名优秀大学生”的公示